Soalan dan jawapan matematik tambahan tingkatan 4 akhirnya, soalan dan jawapan matematik tambahan tingkatan 4 akhirat, soalan dan jawapan matematik tambahan tingkatan 4 akhir perang, soalan dan jawapan matematik tambahan tingkatan 4 akhir akhbar, soalan dan jawapan matematik tambahan tingkatan 4 akhir kisah, soalan dan jawapan matematik tambahan tingkatan 4 akhir cinta, soalan dan jawapan matematik tambahan tingkatan 4 bab, soalan dan jawapan matematik tambahan tingkatan 4 latihan, soalan dan jawapan matematik tambahan tingkatan 4 statistik, soalan dan jawapan matematik tambahan tingkatan 4 2020, soalan dan jawapan matematik tambahan tingkatan 4 nota, soalan dan jawapan matematik tambahan tingkatan 5, soalan dan jawapan matematik spm, burung terbang dipipiskan lada soalan dan jawapan, soalan dan jawapan upsr 2020, soalan dan jawapan spm 2019, soalan dan jawapan matematik tingkatan 1, soalan dan jawapan temuduga kerajaan, contoh soalan dan jawapan muet writing, contoh soalan dan jawapan interview, sains upsr soalan dan skema jawapan, burung terbang dipipiskan lada soalan dan jawapan, soalan dan jawapan, soalan dan jawapan temuduga kerajaan, contoh soalan dan jawapan muet writing,
Random Image

Blog Archive
-
▼
2020
(973)
-
▼
November
(150)
- Soalan Peperiksaan Agama Islam Tahun 1
- Resep Ayam Ungkep Kecap
- Resepi Bakso
- Resepi Ayam Adobo
- Resepi Curry Puff Rangup
- Resepi Apam Nasi Tepung Gandum
- Resepi Nasi Briyani Ayam Ala India
- Resepi Dadih Warna Warni
- Resepi Ayam Korea Cheese
- Resep Brownies Hemat Listrik
- Resep Ayam Cincang Dan Telur
- Contoh Soalan Temu Bual Tentang Kawasan Tempat Tin...
- Soalan Pengajian Am Stpm Penggal 1
- Resepi Nasi Briyani Ayam Goreng Berempah
- Contoh Soalan Peperiksaan Tahun 4 Bahasa Melayu
- Resepi Bihun Sup Daging Azie Kitchen
- Resepi Kek Hari Jadi Sukatan Cawan
- Surat Rasmi Pelepasan Balik Awal
- Contoh Surat Rasmi Permohonan Kerja Sebagai Guru
- Resep Nasi Goreng Warteg
- Surat Resmi Dalam Bahasa Inggris Dan Terjemahannya
- Resepi Ayam Panggang Madu Mudah Dan Sedap
- Contoh Soalan Interview Jpj
- Resep Ayam Geprek Madu
- Resepi Ikan Cencaru Masak Pecel
- Soalan Bahasa Melayu Tahun 5 Dan Jawapan
- Resep Ayam Penyet Sedap
- Soalan Matematik Tingkatan 2 Akhir Tahun Dan Jawapan
- Resepi Tom Yam Paling Enak
- Resepi Ayam Kari Kurma
- Resepi Asam Pedas Nani Rostam
- Resepi Nasi Goreng Daging Merah Thai
- Resepi Pie Brownies
- Resepi Gulai Ikan Yu Terengganu
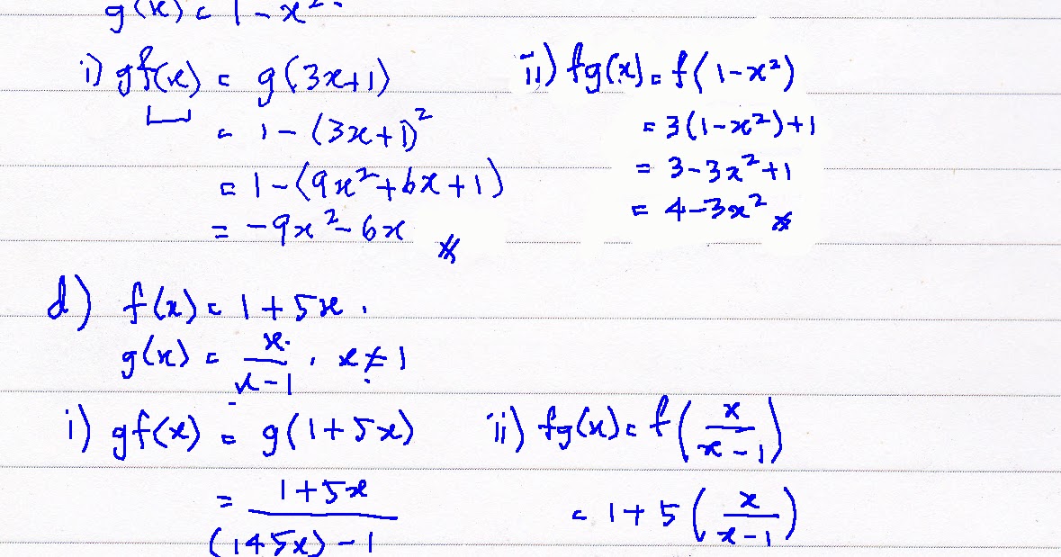
- Soalan Dan Jawapan Matematik Tambahan Tingkatan 4 ...
- Resepi Ayam Kenny Rogers Viral
- Resep Ayam Potong Berkuah
- Resepi Dadih Berlapis
- Resepi Nasi Lemak Malaysia
- Resepi Nasi Goreng Tanpa Sayur
- Contoh Surat Rasmi Rayuan Kemasukan Ke Ipta
- Resepi Orang Kampung
- Soalan Percubaan Spm 2019 Selangor
- Resepi Hotdog Masak Pedas
- Resepi Bihun Goreng Untuk 100 Orang
- Resepi Roti Gardenia
- Surat Tidak Rasmi Tentang Cuti Sekolah
- Resepi Harian Ringkas
- Resep Ayam Masak Kecap Yang Enak
- Resepi Bubur Kacang Hijau Keledek
- Resep Bumbu Ayam Geprek Jogja
- Resepi Tomyam Enak
- Resepi Nasi Lemak Guna Rice Cooker
- Resepi Brownies Coklat Cupcake
- Surat Rasmi Vendor Yang Dicadangkan
- Resepi Ayam Panggang Lemon Rosemary
- Resep Ayam Bakar Kecap Oven
- Resepi Untuk 100 Biji Donat
- Soalan Matematik Tahun 3 Nombor Hingga 10000
- Resepi Hati Ayam Berempah
- Resepi Ayam Juicy
- Resepi Kari Ayam Utara
- Resepi Biskut Epal Sukatan Cawan
- Resepi Agar Agar Guna Gelatin
- Resep Ayam Balado Sambal Ijo
- Resepi Sambal Cilok
- Resepi Ayam Percik Guna Periuk Noxxa
- Resepi Puding Roti Kastard Mudah
- Resep Ayam Asam Manis Ala D'cost
- Soalan Ramalan Exam Ptd
- Resepi Mee Kari Hanieliza
- Soalan Geografi Tingkatan 3 2019
- Resepi Burger Samurai
- Resepi Donut Tanpa Perap
- Contoh Soalan Isipadu Pepejal
- Resepi Donut Azlita Masam Manis
- Resep Sup Ayam Praktis
- Resepi Ikan Nyok Nyok Masak Sambal
- Resepi Spaghetti Aglio Olio Ayam Mudah
- Resepi Kek Batik Planta
- Resepi Ikan Bakar Bellamy
- Soalan Berkaitan Isu Semasa
- Surat Rasmi Terima Kasih Contoh
- Resepi Apam Tepung Beras Gebu
- Resep Masak Ayam Berkuah Tanpa Santan
- Resepi Roti Hotdog Cheese
- Resepi Nasi Ayam Fauziah Samad
- Resepi Nasi Lemak Pandan Azlita
- Resepi Daging Batang Pinang Goreng Kunyit
- Resepi Cucur Udang Tembam
- Resepi Puding Roti Pelangi Sukatan Cawan
- Surat Kiriman Rasmi Permohonan Untuk Tinggal Di As...
- Resepi Brownies Meleleh
- Soalan Kaji Selidik Kepuasan Kerja
- Resepi Ikan Siakap Masak Gulai Tempoyak
- Resepi Soto Ayam Sabah Simple
- Resepi Brownies Diet
- Resepi Nasi Tomato Original
- Resepi Sup Ikan Merah Yang Sedap
- Resepi Adunan Roti Canai
-
▼
November
(150)
Total Pageviews
Search This Blog
Popular Posts
-
Resepi burger ala kfc menu, resepi burger ala kfc near, resepi burger ala kfc coupons, resepi burger ala kfc delivery, resepi burger ala kfc...
-
Resepi makaroni goreng, resepi makaroni bakar, resepi makaroni, resepi makaroni carbonara, resepi makaroni dan cheese, resepi makaroni mayon...
-
Surat permohonan cuti sekolah pdf to word, surat permohonan cuti sekolah pdf to jpg, surat permohonan cuti sekolah pdf converter, surat perm...
